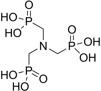
產品類型:电子级氨三甲叉膦酸(ATMP)
產品類型:电子级 1-羟基乙叉-1,1-二膦酸(HEDP)
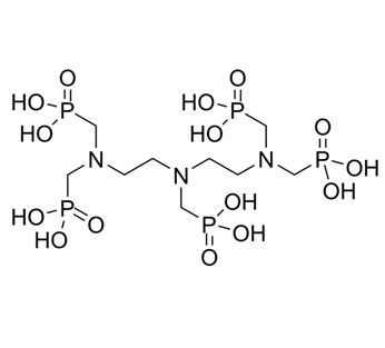
產品類型:电子级二乙烯三胺五(亚甲基膦酸)(DTPMPA)
產品類型:硅晶圆
產品類型:抛光研磨垫
產品類型:DuPont Vespel